Hayt 전자기학 9판 4장 핵심 응용 예제 솔루션

이번 글에서는 Hayt의 전자기학 94에서 제공하는 핵심 응용 예제를 중심으로, 문제 해결의 핵심 아이디어와 풀이 과정을 명확하게 설명하겠습니다. 이를 통해 기본적인 전자기 이론을 이해하고, 이를 실질적으로 문제에 적용하는 방법을 익히는 데 도움을 드리고자 합니다.

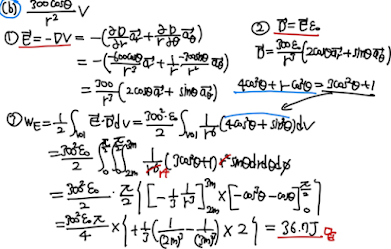
1. 응용 예제 5


2. 응용 예제 11

    


이번 글에서는 Hayt 전자기학 9판 4장의 핵심 예제 문제를 모두 해결하며 이론과 실질적인 문제 접근 방법을 정리해보았습니다. 다음 글에서는 이와 연결하여 핵심 연습 문제를 풀어보며 개념을 더욱 심화하고 응용력을 키워보겠습니다. 꾸준히 함께 학습하며 전자기학의 기초를 탄탄히 다져봅시다!