Hayt 전자기학 9판 4장 연습 문제 솔루션

이번 글에서는 Hayt의 전자기학 94에서 제공하는 핵심 연습 문제를 중심으로, 문제 해결의 핵심 아이디어와 풀이 과정을 명확하게 설명하겠습니다. 이를 통해 기본 개념을 탄탄히 하고, 실전 문제에 대한 자신감을 키울 수 있도록 도와드리겠습니다.


1. 연습 문제 4


2. 연습 문제 13


3. 연습 문제 14


4. 연습 문제 17


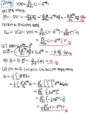
5. 연습 문제 20


6. 연습 문제 23


이번 글에서는 Hayt의 전자기학 94장의 핵심 연습 문제를 해결하며 전자기학의 기본 개념과 이를 적용하는 방법을 살펴보았습니다. 앞으로도 꾸준히 연습하며 더 깊이 있는 이해와 응용 능력을 키워 가시길 바랍니다!